
사워도우, 통밀빵이 흰 밀가루빵보다는 혈당이 좋다는 이야기 들어보셨을 겁니다. 이게 정말일까요? 그리고 발아곡물빵은 어떨까요? 이에 관한 임상 연구 결과를 소개합니다! 정말 좋은지 알아보시고, 실생활에 적용해 보시기 바랍니다!
간단 정리, 더 많은 혈당 관리 정보와 식단이 알고싶으시면 인스타그램 @dr_goodmeal을 방문해주세요!
2. 빵 종류별 혈당 비교
Tucker 외 연구자들(2014)은 시중에 판매하는 빵의 종류별 혈당을 "2형 당뇨 환자"에서 비교했는데요. 캐나다에서 이루어진 연구이고 2014년에 발표된 결과이기 때문에 온전히 우리 주변의 베이커리와 비교하기는 어렵지만, 그래도 참고용으로 볼 수 있을 것 같아 소개해 드립니다.
연구 내용
발아곡물 사워도우(SPR, Sprouted sourdough), 통곡물 사워도우(WG, whole-grain sourdough), 일반 사워도우(SD, white sourdough), 흰 빵(WB, white bread) 섭취 후 혈당과 혈중 인슐린 수치를 측정하였습니다.
빵 성분
- 발아곡물 사워도우 (SPR): 대부분 통밀, 적은 양의 호밀 사워도우, 압착귀리
- 통곡물 사워도우 (WG): 대부분 통밀, 적은 양의 다른 통곡물(통스펠트 가루, 통호밀 가루, 통아마씨, 압착귀리, 부순 대두, 통기장, 맥아 보리 가루, 현미 가루, 기장 가루), 호밀 사워도우 포함
- 일반 사워도우 (SD): 주로 젖산, 아스코르브산, 아세트산 나트륨 첨가된 농축 밀가루
- 흰 빵 (WB): 주로 농축 밀가루
참가자 정보
- 인원: 총 12명 (남성 11명, 여성 1명 (폐경 최소 1년 후))
- 나이: 45-75세
- 조건: 2형 당뇨 환자 (6개월 이상)
- 제외 기준: 심혈관 질환, 암, 간, 신장 질환이 있거나, 경구 혈당 강하제, 인슐린, 고지혈증 약, 호르몬 대체 요법 등을 하는 환자는 제외
- 인종: 따로 기술은 없으나, 캐나다에서 진행된 연구로 대부분 백인으로 추측합니다.
연구 결과
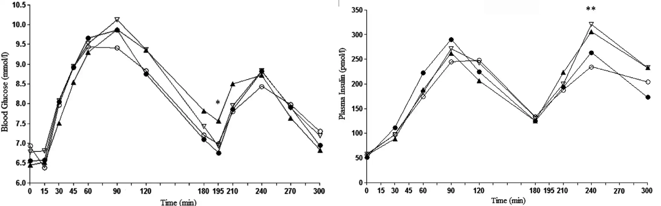
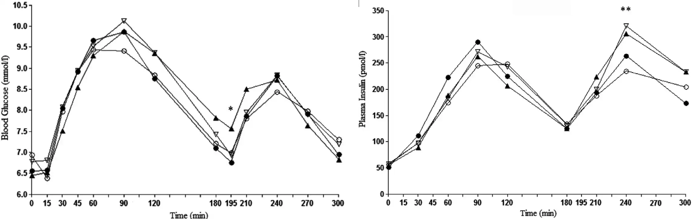
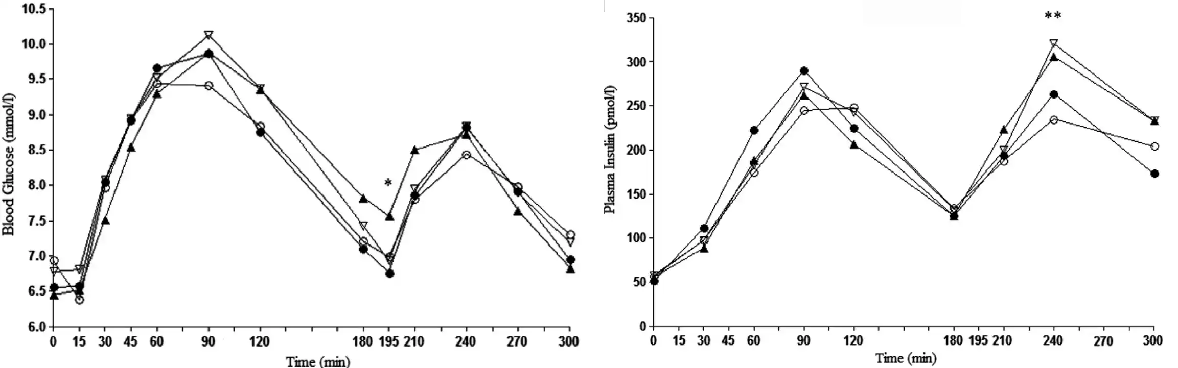
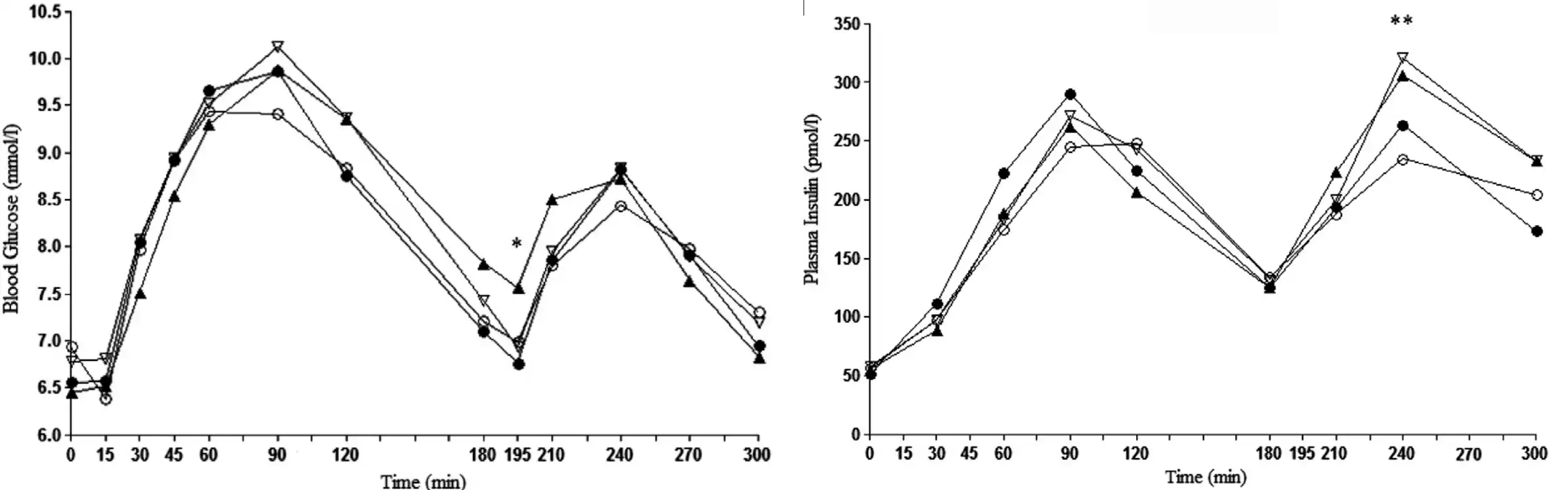
연구 참가자들은 각 빵의 탄수화물양이 50g이 되도록 섭취하였고, 첫 번째 식사(Bread meal)를 한 지 3시간 뒤에 두 번째 같은 식사(Second meal)를 하고, 식후 혈당과 인슐린 수치를 측정하였습니다. 아래의 그래프는 식후 혈당(왼쪽)과 혈중 인슐린(오른쪽) 수치를 나타낸 것이고, 표는 이 그래프의 아래 면적을 수치화한 것입니다.


발아곡물 사워도우는 식후 혈당을 낮출 수 있습니다.
그래프에서 각 시간별로는 식후 혈당에 유의한 차이가 없습니다. 그러나 전체 혈당이 오른 면적을 비교해 보면, 발아곡물 사워도우만 유의하게 혈당을 많이 올리지 않았다는 것을 알 수 있습니다.
발아곡물 사워도우와 통곡물 사워도우는 두 번째 식사의 인슐린 분비량을 줄여줍니다.
이전에 먹은 식사가 다음 식사의 인슐린 분비량 및 혈당에도 영향을 미친다고 하는데요. 그래서 두 번째 식사로 그 영향을 평가해 본 것 같아요. 그 결과 발아곡물 사워도우와 통곡물 사워도우는 다른 빵에 비해 두 번째 식사에서 인슐린 분비량이 유의하게 줄어듭니다. 그러나 혈당은 비슷하거나 오히려 낮지요.
인슐린 분비량이 줄었는데 혈당은 비슷하거나 낮다면, 인슐린 저항성이 그 시기에 조금 개선되었다고 볼 수 있을 것 같습니다.
결론
일반 밀가루 사워도우나 흰 빵에 비해 통곡물빵과 발아곡물빵이 혈당 조절과 인슐린 민감도 개선에 긍정적인 영향이 있는 것 같습니다. 식후 혈당 그래프를 보시면 아시겠지만, 식후 혈당 자체를 드라마틱하게 덜 올리진 않는데요. 그래도 미세하게 혈당을 덜 올리는 것 같고, 또 다음 끼니에 인슐린 저항성을 조금 개선시키는 효과를 보여주니, 선택하지 않을 이유가 없네요.
또 사실 탄수화물양을 50g으로 맞춰서 섭취했기 때문에, 발아곡물, 통곡물 사워도우는 일반 흰 밀가루로 만든 사워도우나 빵에 비해 40~60g 정도 더 많은 양을 섭취했다고 해요. 실생활에서는 비슷한 양의 빵을 먹을 테니, 실제로는 혈당을 더 낮출 수 있다고 볼 수도 있겠습니다.
혈당 관리하실 때, 흰 밀가루빵보다는 당연히 통곡물빵을 선택해 오셨을 텐데요. 기왕이면 발아곡물 사워도우, 발아곡물빵도 한 번씩 드셔보시는 것도 좋겠습니다.
한계점 (해석의 주의점)
캐나다에서 진행된 연구이므로 아마도 백인 위주의 참가자였을 것 같습니다. 빵도 이 지역에서 자란 곡물로 만들었을 테고요. 또, 12명 중 11명이 남성이며, 평균 HbA1c는 6.94인 2형 당뇨 환자들입니다.
한국인인 우리에게 딱 맞는 연구는 아니에요. 그렇지만 발아곡물이 혈당 관리와 당뇨에 긍정적인 영향이 있을 수 있겠구나 하고 참고하는 정도로 봐주시면 좋을 것 같습니다.
==================
함께 보면 좋은 글
▼▼▼▼▼▼▼▼▼▼
발아 곡물 효능 및 장점
발아현미가 일반 현미보다 좋다더라. 하는 이야기 한 번쯤 들어보셨을 텐데요. 발아곡물은 비발아 곡물에 비해 여러 영양학적 장점이 있고, 이 장점에 의해 당뇨 및 저탄수화물 식단에도 도움이
blessing-su.com
발아 현미 먹으면 혈당 좋아질까? - 발아 곡물 임상 연구 시리즈-1
발아 현미가 건강에 좋다고 해서 드시는 분들 많으실 것 같은데요. 발아 곡물이 혈당 조절도 도와줄까요? 발아 곡물과 혈당의 관계에 관한 임상 연구 결과 시리즈로 몇 가지 소개해 드리니, 어떻
blessing-su.com
나만 몰랐던 인슐린 저항성 고급 정보
지금까지 당뇨와 당뇨 전 단계를 이해하기 위해 베타 세포와 인슐린 분비에 대해 깊이 살펴보았는데요. 앞으로는 2형 당뇨병의 가장 큰 원인 중 하나라고 알려진 "인슐린 저항성(Insulin resistance)"
blessing-su.com
'식단 Case Study' 카테고리의 다른 글
| 발아 현미 먹으면 혈당 좋아질까? - 발아 곡물 임상 연구 시리즈-1 (0) | 2023.06.02 |
|---|---|
| 탄수화물 대신 지방 섭취 하면 일어나는 일 (혈당, 인슐린) (0) | 2023.04.22 |
댓글