
흔히 뭉뚱그려서 '지방'이라고 한 번에 언급하는데요. 사실, 지방은 종류도 너무나 다양하고, 그 종류에 따라 대사도 다르고, 기능도 다르답니다. 지방 또는 지질이라고 번역되는 "lipid"의 종류에 대해 알아보겠습니다!
지방은 영어로 'fat'이라고도 번역되는데요. lipid와 fat을 한국어로 똑같이 "지방"이라고 말하니, 더더욱 헷갈리는 것 같습니다. Lipid는 좀 더 학술적인 용어이자, 지방 분자의 종류를 포괄적으로 일컫는 용어라고 생각하면 쉬울 것 같고요. Fat은 식품에 포함된 지방이나 체내에 축적되는 지방을 의미하는 것이 더 가깝다고 보시면 될 것 같습니다. 그러니까 이번 포스팅에서 말하는 지방/지질은 "lipid", 즉, 지방 분자의 종류는 어떤 것들이 있는지 살펴보겠습니다.
1. 지방산(Fatty acids)
특징 및 구조
지질을 이루는 가장 작은 단위이자 기본 단위라고 할 수 있겠습니다. 글리세롤과 결합한 중성지방의 형태로 지방의 대부분을 차지한다고 해도 과언이 아닌데요. 아래 구조의 그림에서 보시는 것처럼, 동그라미로 표시된 카르복실기(Carboxyl group)에, 지그재그로 그려진 탄화수소 사슬(Hydrocarbon chain)이 붙어 있는 구조입니다. 카르복실기가 산성을 띄기 때문에 지방"산"이라는 이름이 붙습니다.
종류
탄화수소 사슬의 길이에 따라 단사슬, 중사슬, 긴사슬 지방산으로 분류됩니다. 또, 탄화수소 사슬에 이중 결합이 있는지 없는지에 따라 포화지방산, 불포화지방산으로 분류되는데요. 이러한 종류에 따라 성질도 다르고, 몸 안에서 대사 되는 경로로 달라지기 때문에, 지방산이라는 이름으로 한 번에 특징을 설명하기는 어렵습니다.
탄화수소 사슬의 탄소 개수와 이중결합 유무에 따라 각 지방산의 이름이 다 다른데요. 명명법을 포함한 지방산에 대한 더 자세한 설명을 아래 글에서 더 알아보시기 바랍니다.
[지방산에 대하여 - 링크]
기능
- 대사 되어 에너지로 쓰입니다.
- 중성 지방 형태로 지방 세포에 저장됩니다.
- 다른 지질 분자를 합성하는 원료로 쓰여, 세포막, 호르몬, 신호전달물질 등 우리 몸의 구성 성분과 중요한 기능을 하는 물질로 사용됩니다.
2. 중성 지방 (Triglyceride 또는 Triacylglycerol)
특징 및 구조
앞에서 설명한 '지방산 3개'와 탄소 3개로 이루어진 '글리세롤(glycerol)'이 결합한 것을 중성지방(Triglycerides, TG)이라고 부릅니다 (아래 그림 참조). 식이지방의 95% 이상을 차지하는 지방의 형태이며, 지방조직에 우리 몸의 예비 에너지원으로 저장될 때도 이 형태로 주로 저장된다고 하는데요. 물에 녹지 않으므로, 지방을 운반하는 단백질과 결합하여, 혈액을 따라 온몸을 돌아다니며, 필요한 조직에 쓰입니다.
종류
지방산의 종류에 따라 중성지방의 종류도 결정됩니다. 포화지방산만으로 이루어지면 포화지방, 불포화지방산이 하나라도 붙어있다면 불포화지방으로 분류되며, 포화지방은 상온에서 고체 형태, 불포화지방은 액체 형태로 존재합니다. 포화지방, 불포화지방의 특징과 이들을 함유한 음식에 관한 내용은 아래 글에 더 자세히 설명되어 있습니다.
[포화지방, 불포화지방에 관하여- 링크]
기능
- 에너지 저장소
- 지방 세포의 주요 구성성분
- 몸에서 합성되기도 하고, 음식으로 섭취할 수도 있음.
- 지단백질 리파아제(lipoprotein lipase)에 의해 지방산과 글리세롤로 분해되어, 세포 내로 들어가며, 에너지원으로 쓰이거나 저장됨.
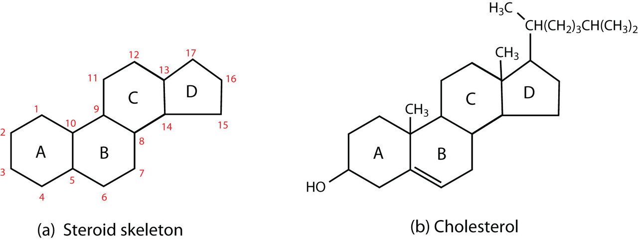
3. 스테로이드 (Steroid)
특징 및 구조
탄소 5개짜리 고리 1개와 탄소 6개짜리 고리 3개가 연결된 형태가 스테로이드의 뼈대 구조입니다 (아래 그림의 Steroid skeleton 참조). 스테로이드에는 우리가 많이 들어본 "콜레스테롤", 스트레스 호르몬으로 알려진 "코티솔", 이 외에도 알도스테론, 프로게스테론, 테스토스테론과 같은 성호르몬이 포함됩니다. 아래 그림을 보시면, 모두 같은 스테로이드 뼈대에 화학 구조가 조금씩 다른 걸 알 수 있지요. 우리 몸에서 합성도 되지만, 음식으로도 섭취할 수 있습니다. 계란 노른자가 대표적인 콜레스테롤 공급원이죠.


종류 및 기능
스테로이드는 우리 몸에 필수적인 물질인데요. 그 기능을 종류에 따라 간략히 살펴보도록 하겠습니다.
1) 콜레스테롤
- 세포막의 구성성분으로, 세포막의 유동성을 조절합니다.
- 세포 신호 전달 경로를 조절하기도 합니다.
- 성호르몬과 담즙, 비타민 D를 만드는 재료로 쓰이기도 합니다.
콜레스테롤에 대한 더 자세한 내용은 아래 글에서 알아보세요.
[콜레스테롤 한 방에 정리 - 링크]
2) 글루코코르티코이드(Glucocorticoids)
- 혈당을 조절하는 데 관여하는 호르몬으로, 코티솔(cortisol), 코티손(cortisone), 코티코스테론(corticosterone)이 있습니다.
- 세포가 포도당을 흡수하는 것을 막고, 포도당 합성을 촉진합니다.
- 쉽게 생각해서, 스트레스 호르몬인 코티솔은 우리 몸을 약간의 긴장 상태로 만들어서, 에너지가 더 많이 필요한 상태로 만든다고 생각할 수 있겠는데요. 이러한 상황에서는 포도당이 많이 요구될 것이므로, 포도당 합성을 더 늘리는 쪽으로 작용한다고 생각할 수 있을 것 같습니다.
3) 미네랄 코르티코이드(Mineralocorticoids)
- 체내 나트륨 농도를 조절하는 데 관여하는 호르몬입니다.
- 나트륨 농도 조절을 통해 체내 수분량을 조절하기도 합니다.
4) 성호르몬
- 테스토스테론, 베타-에스트라디올, 프로게스테론과 같은 성호르몬이 포함됩니다.
- 2차 성징, 정자 및 난자 성숙과 같은 전반적인 생식 기능을 조절합니다.
5) 기타: 비타민D, 담즙
- 비타민D는 칼슘 흡수뿐만 아니라 뼈 건강에 관여하는 중요한 물질입니다.
- 담즙은 간에 위치한 담낭에서 분비되는 물질로, 소화 과정 동안 지방을 유화시켜서 지방의 소화를 촉진시킵니다.
4. 인지질 (Phospholipids)
특징 및 구조
세포막의 주요 구성 성분으로, 인산기가 있어 친수성인 머리와 물에 녹지 않는 부분인 지방산이 결합되어 꼬리와 같은 모습을 한 구조입니다. 세포막은 인지질의 꼬리 부분이 맞닿아 있는 2중 레이어 구조로 이루어져 있어, 친수성인 부분과 소수성인 부분이 구분되며, 이를 통해 세포와 외부를 구분 짓는 장벽을 만들어 세포를 보호하고, 물질 투과를 조절하는 역할을 합니다.

종류 및 기능
인지질은 지방산이 붙어있는 뼈대의 종류에 따라 글리세롤인지질과 스핑고인지질로 나눌 수 있습니다 (아래 그림 참조).
글리세롤인지질(Glyerophospholipids)
위에서 살펴보았던 중성지방에서 지방산이 하나 없고, 대신 PO4인 인산기가 붙으면, 글리세롤인지질이라고 부르고, 인지질 이중층을 이루는 세포막의 주요 구성성분입니다. 결합된 지방산은 주로 하나는 포화지방산, 다른 하나는 불포화지방산이라고 합니다.
인산기 옆에 콜린(choline) 구조가 붙으면 포스파티딜콜린(phosphatidylcholine), 아미노산 중 하나인 세린(serine)이 붙으면 포스파티딜세린(phosphatidylserine), 이노시톨(inositol) 구조가 붙으면 포스파티딜이노시톨(phosphatidylinositol)이라고 불리며, 세포 신호 전달에 중요한 역할을 합니다.
스핑고지질(Sphingolipids)
글리세롤 대신 스핑고신(sphingosine)이라는 뼈대에 지방산이 1개 결합하면 스핑고지질이라고 불립니다. 스핑고신에 인산기가 붙으면 스핑고인지질(sphingophospholipid)로 분류됩니다. 반면, 당 분자가 붙으면 당지질(glycolipid)의 일종인 스핑고지질로 분류되며, 대표적으로 신경세포의 전기 신호 전달을 빠르게 해주는 미엘린 수초(myelin sheath)의 중요한 구성성분인 스핑고마이엘린(sphingomyelin)이 있습니다.

5. 에이코사노이드 (Eicosanoids)
특징 및 종류
탄소 20개, 이중결합 4개가 있는 불포화지방산인 아라키돈산(Arachidonic acid)을 원료로 포스포리파이제 A2(phospholipase A2)가 작용하여 에이코사노이드를 만듭니다.
에이코사노이드는 세포 신호 전달 경로, 면역반응, 혈액 응고 등에 필수적인 물질로 프로스타글란딘(prostaglandin), 트롬복산(thromboxane), 류코트린(leukotriene), 리폭신(lipoxin) 등으로 분류됩니다.

기능
- 프로스타글란딘: 염증 반응, 분만 시 자궁 수축 촉진
- 류코트린, 리폭신: 폐에서 근육 수축을 촉진합니다.
- 트롬복산: 혈액 응고 촉진
6. 기타 지질의 종류 및 기능
1) 당지질(Glycolipid)
인지질에서 잠시 설명한 것처럼, 스핑고신 뼈대에 지방산이 하나 붙고, 당분자가 하나 또는 여러 개가 붙은 구조입니다.
주로 뇌의 신경세포에서 발견되는 중요한 지질입니다.
세레브로사이드(Cerebroside), 스피고마이엘린(sphingomyelin), 갱글리오사이드(ganglioside) 등이 있습니다.
2) 이소프레노이드(Isoprenoid)/테르페노이드(Terpenoid)
지질비타민인 '비타민 A, D, E, K'와 미토콘드리아에서 세포에 필요한 에너지를 생산할 때 필수적인 '유비퀴논(uniquinone)'이라는 전자운반체가 이소프레노이드에 속하는 지질입니다.
당근에 많이 들어있는 색소인 '카로티노이드'와 식물이 녹색을 띠게 하는 '엽록소', 식물의 전자운반체인 '플라스토퀴논'도 여기에 속합니다.
[함께 보면 좋은 글]
고지혈증과 베타 세포
포도당뿐만 아니라 지방도 인슐린 분비를 촉진할 수 있다는 것, 지난 포스팅에서 공부하셨나요? 하. 지. 만!! 고지혈증은 반대로 인슐린 분비를 억제할 수도 있다는 것, 더 나아가서 베타 세포에
blessing-su.com
지방과 인슐린 분비
탄수화물과 단백질뿐만 아니라 지방도 인슐린 분비와 밀접한 연관이 있다고 하는데요. 특히, 당뇨 환자들은 합병증으로 고지혈증도 조심해야 하므로, 지방이 인슐린 분비를 어떻게 조절하는지
blessing-su.com
대체당의 모든 것, 이것 하나로 진짜 갓벽 정리!
다이어트, 당뇨식, 키토식, 건강식하시는 분들은 체중 관리나 혈당 관리 때문에 설탕 대신 쓸 수 있는 설탕대체제를 가장 먼저 찾게 되실텐데요. 수많은 제품 중에 어떤 대체당이 진짜 안심하고
blessing-su.com
'당뇨병 기전' 카테고리의 다른 글
| 지방산 명명법 - 오메가3, 오메가6 (0) | 2023.05.04 |
|---|---|
| 인슐린 저항성 왜 생길까? -2 (염증과 인슐린 저항성) (0) | 2023.03.01 |
| 인슐린 저항성 왜 생길까? - 1 (0) | 2023.02.28 |
| 나만 몰랐던 인슐린 저항성 고급 정보 (0) | 2023.02.25 |
| 영양소와 인슐린 작용 2 - 지방 조직 (0) | 2023.02.18 |


댓글